

Hướng tới phát triển bền vững: Tác động của việc cho thuê đất công nghiệp đối với đổi mới xanh đô thị
Towards sustainable development: How industrial land leasing affects urban green innovation?
Tác giả | Fenghui Sun
Hengzhou Xu |
Ngày đăng tải | 09/10/2025 |
DOI | https://doi.org/10.1016/j.jum.2025.10.001 |
Nguồn bài nghiên cứu | Science Direct |
Từ khóa |
Cho thuê đất công nghiệp Cho thuê đất các ngành gây ô nhiễm Đồng tập trung công nghiệp (công kết tụ) Đổi mới xanh đô thị Phát triển bền vững |
1 – GIỚI THIỆU
Sự chuyển đổi trong sử dụng đất công nghiệp đóng vai trò then chốt trong việc cân bằng giữa hiệu quả kinh tế và lợi ích môi trường, đặc biệt là trong việc thúc đẩy đổi mới xanh đô thị. Nghiên cứu này xây dựng một khung lý thuyết mới kết hợp giữa cho thuê đất công nghiệp, mức độ chú trọng phát triển xanh của chính quyền, mức độ đồng tập trung công nghiệp và đổi mới xanh đô thị. Dựa trên lý thuyết địa lý kinh tế mới và lý thuyết tập trung công nghiệp, nghiên cứu sử dụng dữ liệu của các thành phố và ngành công nghiệp Trung Quốc giai đoạn 2010–2021 để kiểm định thực nghiệm khung này.
Kết quả chỉ ra rằng mối quan hệ giữa cho thuê đất công nghiệp và đổi mới xanh đô thị có dạng đường cong chữ U ngược, tức tồn tại một mức độ cho thuê đất tối ưu giúp thúc đẩy đổi mới xanh đô thị. Ngoài ra, tác động này thay đổi tùy theo đặc điểm tài nguyên và điều kiện cung ứng đất của từng thành phố. Phân tích cơ chế cho thấy việc cho thuê đất công nghiệp trên diện rộng có thể làm giảm sự chú ý của chính quyền đối với phát triển xanh, qua đó kìm hãm đổi mới xanh đô thị. Tuy nhiên, sự đồng tập trung công nghiệp có thể tạm thời giảm bớt tác động tiêu cực này nhờ chia sẻ nguồn lực và lan tỏa tri thức, tạo ra cơ chế đệm để duy trì đổi mới xanh. Nghiên cứu góp phần cung cấp bằng chứng và hàm ý chính sách nhằm tối ưu hóa phân bổ tài nguyên đất đai cho phát triển bền vững.
2 – MÔ TẢ HỆ THỐNG
Nghiên cứu được triển khai trong bối cảnh hệ thống quản lý đất đai nhiều cấp của Trung Quốc, nơi mà quyền sở hữu đất đô thị thuộc Nhà nước, song chính quyền thành phố có quyền cho thuê quyền sử dụng đất trong phạm vi hạn ngạch được phê duyệt. Tác giả lựa chọn bộ dữ liệu bao gồm 284 thành phố đại diện cho toàn bộ lãnh thổ Trung Quốc, trong đó có 4 thành phố trực thuộc trung ương, 15 thành phố cấp phó tỉnh và 265 thành phố cấp địa khu, với khung thời gian từ năm 2010 đến 2021. Dữ liệu cho thuê đất công nghiệp được thu thập từ trang Landchina.com – cơ sở dữ liệu chính thức ghi nhận tất cả các giao dịch đất công nghiệp và kho bãi khai khoáng; dữ liệu về đổi mới xanh đô thị được lấy từ cơ sở dữ liệu CNRDS, thông qua số lượng bằng sáng chế sáng chế xanh và bằng sáng chế mô hình tiện ích xanh; dữ liệu về các biến kiểm soát như chi tiêu tài khóa, dân số, đầu tư, bán lẻ, và khoa học – công nghệ được lấy từ Niên giám Thống kê đô thị Trung Quốc (CUSY) và cơ sở dữ liệu CSMAR. Bên cạnh đó, các báo cáo công tác thường niên của chính quyền địa phương được khai thác để định lượng mức độ “chú trọng phát triển xanh” (Green Development Attention – GDA) dựa trên tần suất xuất hiện của các từ khóa liên quan đến môi trường, còn tỷ lệ văn bản quy định môi trường được xác định từ cơ sở dữ liệu pháp luật Pkulaw. Nhằm đánh giá mức độ “đồng tập trung công nghiệp” (Co-agglomeration – CA), tác giả sử dụng tỷ lệ và mật độ lao động trong hai khu vực chính: ngành sản xuất chế tạo và ngành dịch vụ hỗ trợ sản xuất, từ đó xây dựng chỉ số phản ánh mức độ giao thoa và cộng hưởng công nghiệp theo công thức tích hợp giữa độ chênh và tổng mật độ lao động. Các biến kiểm soát được lựa chọn nhằm phản ánh toàn diện năng lực tài chính công, quy mô dân số, mức phát triển kinh tế, cường độ đầu tư cố định và nguồn lực khoa học – công nghệ, giúp loại trừ nguy cơ sai lệch do biến bị bỏ sót. Bộ dữ liệu bảng được thiết lập có hiệu ứng cố định không gian và thời gian nhằm bảo đảm tính ổn định của kết quả và hạn chế sai số nội sinh trong ước lượng.
3 – PHƯƠNG PHÁP NGHIÊN CỨU
Nghiên cứu được triển khai dựa trên mô hình hồi quy dữ liệu bảng với hiệu ứng cố định theo thành phố và theo năm, nhằm đánh giá mối quan hệ phi tuyến giữa việc cho thuê đất công nghiệp và đổi mới xanh đô thị. Cách tiếp cận này cho phép tác giả kiểm soát được các yếu tố không quan sát được theo không gian và thời gian, đảm bảo tính ổn định và độ tin cậy của kết quả ước lượng. Trong khung mô hình, diện tích cho thuê đất công nghiệp (ILL) và diện tích cho thuê đất của các ngành gây ô nhiễm (PILL) được xem là biến giải thích chính, trong khi mức độ đổi mới xanh đô thị (UGI) là biến phụ thuộc. Để phản ánh khả năng tác động phi tuyến, tác giả đưa vào mô hình cả biến gốc và biến bình phương của ILL và PILL, cho phép kiểm định sự tồn tại của mối quan hệ dạng đường cong chữ U ngược giữa việc cho thuê đất và đổi mới xanh.
Ngoài mô hình cơ sở, nhóm nghiên cứu còn mở rộng mô hình bằng cách đưa vào các biến tương tác giữa ILL (hoặc PILL) và chỉ số đồng tập trung công nghiệp (CA) nhằm xác định vai trò điều tiết của hiện tượng đồng tập trung công nghiệp trong mối quan hệ giữa cho thuê đất công nghiệp và đổi mới xanh đô thị. Đồng thời, biến trung gian là mức độ chú trọng phát triển xanh của chính quyền địa phương (GDA) được đưa vào mô hình để kiểm tra liệu việc cho thuê đất công nghiệp có tác động gián tiếp đến đổi mới xanh thông qua sự thay đổi trong định hướng phát triển xanh của chính quyền hay không.
Để xử lý khả năng nội sinh có thể phát sinh do mối quan hệ hai chiều giữa chính sách đất đai và đổi mới xanh, nghiên cứu áp dụng đồng thời hai phương pháp ước lượng nâng cao: biến công cụ (IV) và System-GMM. Hai biến công cụ được lựa chọn nhằm đảm bảo tính liên quan và tính ngoại sinh, bao gồm tích của diện tích đất chưa phát triển năm 2010 với tỷ giá hối đoái USD–NDT hàng năm, và tích giữa độ dốc trung bình của địa hình đô thị với mục tiêu GDP do chính quyền cấp tỉnh đặt ra. Các biến này có tương quan mạnh với mức cho thuê đất công nghiệp nhưng không tác động trực tiếp đến đổi mới xanh, nhờ vậy bảo đảm tính hợp lệ của phương pháp IV. System-GMM tiếp tục được sử dụng để kiểm định động học của mô hình và khẳng định độ bền của kết quả.
Nhằm bảo đảm tính toàn diện, nghiên cứu còn thực hiện các kiểm định độ bền bằng cách thay thế biến phụ thuộc (chỉ sử dụng số lượng bằng sáng chế sáng chế xanh thay vì toàn bộ bằng sáng chế xanh), thêm biến bậc ba của diện tích cho thuê đất nhằm kiểm tra khả năng tồn tại quan hệ dạng chữ N ngược, và phân tích dị biệt giữa các nhóm thành phố. Phân tích này được chia thành hai hướng: thứ nhất là so sánh giữa các thành phố dựa vào tài nguyên thiên nhiên và các thành phố phi tài nguyên nhằm xác định ảnh hưởng của “lời nguyền tài nguyên” đối với đổi mới xanh; thứ hai là xem xét các thành phố có tình trạng cung đất khác nhau (thừa cung hoặc thiếu cung) để đánh giá tác động của cấu trúc cung cầu đất đối với hiệu quả của chính sách cho thuê đất. Cách tiếp cận này cho phép nghiên cứu vừa kiểm định được mối quan hệ tổng thể, vừa khám phá các đặc trưng dị biệt vùng miền, cung cấp nền tảng thực nghiệm vững chắc cho các khuyến nghị chính sách phát triển bền vững.
4 – KẾT QUẢ NGHIÊN CỨU
Kết quả thực nghiệm chỉ ra rằng việc cho thuê đất công nghiệp có ảnh hưởng phi tuyến tới đổi mới xanh đô thị với dạng đường cong chữ U ngược, nghĩa là ở giai đoạn đầu, khi quy mô cho thuê còn thấp, việc mở rộng diện tích đất công nghiệp giúp thúc đẩy đổi mới xanh thông qua thu hút đầu tư, gia tăng quy mô sản xuất và cải thiện cơ sở hạ tầng; nhưng khi mức cho thuê vượt ngưỡng tối ưu, hiệu quả tích cực dần suy giảm và chuyển thành tác động tiêu cực, làm suy yếu động lực đổi mới xanh. Với nhóm ngành gây ô nhiễm, tác động tiêu cực xuất hiện sớm hơn do đặc tính tiêu hao năng lượng và phát thải cao. Phân tích độ trễ cho thấy tác động tiêu cực của ILL lên UGI kéo dài qua một đến hai chu kỳ thời gian, phản ánh độ trễ chính sách và chu kỳ đầu tư dài hạn trong công nghiệp. Đồng thời, kết quả hồi quy cũng cho thấy mức độ đồng tập trung công nghiệp (CA) có ảnh hưởng tích cực và có ý nghĩa thống kê đối với UGI, chứng tỏ rằng sự liên kết không gian giữa ngành sản xuất và dịch vụ hỗ trợ sản xuất giúp tạo ra lan tỏa tri thức, giảm chi phí đổi mới và nâng cao năng suất xanh của đô thị.
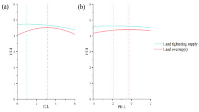
Các kiểm định độ bền khẳng định rằng ngay cả khi thay đổi biến phụ thuộc hoặc thêm biến bậc ba, quan hệ giữa ILL và UGI vẫn giữ nguyên dạng chữ U ngược, không xuất hiện hình thái chữ N. Kiểm định nội sinh bằng IV và System-GMM cho kết quả ổn định, củng cố tính tin cậy của mô hình. Phân tích dị biệt cho thấy ở các thành phố phụ thuộc tài nguyên, hiện tượng “lời nguyền tài nguyên” khiến đổi mới xanh bị hạn chế do sự lệ thuộc vào ngành khai khoáng, hiện tượng chen lấn vốn và nhân lực, cùng với động cơ tìm kiếm lợi ích làm suy giảm hiệu quả thể chế; trong khi ở các thành phố phi tài nguyên, UGI đạt mức cao hơn nhờ cấu trúc công nghiệp đa dạng và môi trường thể chế năng động hơn. Bên cạnh đó, trong các thành phố có nguồn cung đất hạn chế (land-tightening cities), tác động của ILL đối với UGI không có ý nghĩa thống kê, bởi nền kinh tế đã phát triển với cấu trúc công nghiệp tiên tiến và mức đầu tư đổi mới cao; ngược lại, ở các thành phố có dư cung đất, tác động tiêu cực của ILL càng rõ rệt do quá trình mở rộng công nghiệp ồ ạt làm giảm hiệu quả sử dụng đất và chất lượng tăng trưởng.
Phân tích cơ chế cho thấy cho thuê đất công nghiệp quy mô lớn làm giảm mức độ chú trọng phát triển xanh của chính quyền địa phương – được đo bằng tần suất xuất hiện các từ khóa môi trường và tỷ lệ quy định bảo vệ môi trường trong các báo cáo và văn bản chính sách. Khi ngân sách địa phương phụ thuộc quá nhiều vào “tài chính đất đai”, chính quyền có xu hướng thiên lệch trong phân bổ nguồn lực, ưu tiên thu ngân sách ngắn hạn hơn là đầu tư dài hạn vào đổi mới xanh. Ngược lại, sự đồng tập trung công nghiệp có vai trò điều tiết tích cực, giúp giảm nhẹ tác động tiêu cực của ILL đối với UGI thông qua việc gia tăng tương tác giữa doanh nghiệp, hình thành các mạng lưới lan tỏa tri thức và hợp tác công nghệ. Tuy nhiên, tác dụng điều tiết này chỉ mạnh trong ngắn hạn do mức độ đồng tập trung ở nhiều thành phố Trung Quốc còn thấp và cơ chế hợp tác công nghiệp vẫn mang tính sơ khai.
5 – KẾT LUẬN
Nghiên cứu kết luận rằng việc cho thuê đất công nghiệp và cho thuê đất cho các ngành gây ô nhiễm đều có tác động phi tuyến đối với đổi mới xanh đô thị, với hình dạng đường cong chữ U ngược. Điều này cho thấy việc mở rộng cho thuê đất chỉ có lợi cho đổi mới xanh trong giới hạn nhất định, còn vượt quá ngưỡng đó sẽ làm giảm hiệu quả đổi mới. Hiện tại, phần lớn các thành phố Trung Quốc đang nằm ở phía bên phải của điểm ngoặt, tức là giai đoạn mà tác động của ILL đối với UGI mang tính tiêu cực. Đồng tập trung công nghiệp được chứng minh có ảnh hưởng tích cực đối với đổi mới xanh, song hiệu quả điều tiết dài hạn vẫn hạn chế do tính không đồng đều giữa các vùng. Mức độ chú trọng phát triển xanh của chính quyền địa phương đóng vai trò là cơ chế trung gian quan trọng: khi chính quyền dồn ưu tiên cho tăng trưởng kinh tế ngắn hạn dựa vào nguồn thu từ đất, sự quan tâm đến phát triển bền vững và đổi mới xanh bị suy giảm, dẫn đến suy yếu động lực đổi mới của khu vực doanh nghiệp.
Trên cơ sở kết quả nghiên cứu, nhóm tác giả khuyến nghị cần cải thiện cơ chế cho thuê đất công nghiệp theo hướng thị trường hóa, từng bước chấm dứt hình thức cấp đất hành chính cho các ngành ô nhiễm và ưu tiên cấp đất cho ngành công nghệ cao, thân thiện môi trường. Cần tích hợp yêu cầu bảo vệ môi trường vào toàn bộ quy trình cho thuê đất – từ khâu xét duyệt đến giám sát hậu kiểm – và xây dựng cơ chế phối hợp liên ngành giữa quy hoạch đất đai, tài chính xanh và chính sách thuế để bảo đảm sự nhất quán của định hướng phát triển xanh. Bên cạnh đó, việc thúc đẩy mô hình đất công nghiệp thế hệ mới (M0), cho phép kết hợp linh hoạt giữa sản xuất, nghiên cứu và dịch vụ, sẽ giúp hình thành không gian đổi mới đa chức năng phù hợp với doanh nghiệp sáng tạo. Chính quyền cần tăng cường tiêu chí đánh giá hiệu quả xanh trong hệ thống đánh giá thành tích công vụ, giảm dần sự phụ thuộc vào “tài chính đất đai” và khuyến khích chuyển đổi sang mô hình phát triển dựa trên đổi mới và năng suất xanh. Cuối cùng, chiến lược đồng tập trung công nghiệp cần được lồng ghép vào quy hoạch không gian quốc gia nhằm bảo đảm sự phát triển có trật tự của các cụm công nghiệp, tạo điều kiện cho liên kết chuỗi cung ứng và hợp tác công nghệ giữa các doanh nghiệp, từ đó thúc đẩy đổi mới xanh bền vững và đạt được mục tiêu kép giữa tăng trưởng kinh tế và bảo vệ môi trường.